3. Mode / बहुलक
Modeबहुलक |
परिचय (Introduction):
सांख्यिकी (Statistics) में केन्द्रीय प्रवृत्ति (Measures of Central Tendency) के तीन प्रमुख माप होते हैं- माध्य (Mean), माध्यिका (Median) और बहुलक (Mode)। इनमें से बहुलक वह मान होता है जो किसी आंकड़ों के समूह में सबसे अधिक बार प्रकट होता है।
दूसरे शब्दों में, जिस मान की आवृत्ति (Frequency) सबसे अधिक होती है, वही बहुलक कहलाता है।
बहुलक को सामान्य भाषा में सबसे सामान्य या प्रचलित मान भी कहा जाता है। उदाहरण के लिए, यदि किसी कक्षा में छात्रों के जूतों के आकार (Shoe Size) में 7 सबसे अधिक बार आता है, तो 7 उस समूह का बहुलक होगा।
परिभाषा (Definition):
बहुलक वह मान है जिसकी आवृत्ति किसी श्रेणी में सबसे अधिक होती है।
सांख्यिकीविदों के अनुसार:
“The mode is the value which occurs most frequently in a series.”
अर्थात जिस मान की पुनरावृत्ति सबसे अधिक होती है, वही बहुलक कहलाता है।
बहुलक की विशेषताएँ (Characteristics of Mode):-
✍️ बहुलक वह मान है जो सबसे अधिक बार आता है।
✍️ यह सबसे सामान्य या प्रचलित मान को दर्शाता है।
✍️ बहुलक को ग्राफ द्वारा भी निकाला जा सकता है।
✍️ यह चरम मानों (Extreme Values) से प्रभावित नहीं होता।
✍️ कभी-कभी किसी श्रेणी में एक से अधिक बहुलक भी हो सकते हैं।
1. व्यक्तिगत श्रेणी (Individual Series) में बहुलक:-
व्यक्तिगत श्रेणी में प्रत्येक मान अलग-अलग दिया होता है। इसमें बहुलक वह मान होता है जो सबसे अधिक बार दोहराया गया हो।
उदाहरण:
आंकड़े: 2, 4, 6, 6, 7, 8, 6, 9
यहाँ 6 तीन बार आया है, जो सबसे अधिक है।
इसलिए बहुलक = 6
2. खंडित श्रेणी (Discrete Series) में बहुलक:-
खंडित श्रेणी में मान (X) और उनकी आवृत्ति (f) दी होती है। जिस मान की आवृत्ति सबसे अधिक होती है वही बहुलक होता है।
उदाहरण:
| X | f |
| 10 | 2 |
| 20 | 5 |
| 30 | 7 |
| 40 | 4 |
यहाँ 30 की आवृत्ति सबसे अधिक (7) है।
इसलिए बहुलक = 30
3. सतत श्रेणी (Continuous Series) में बहुलक:-
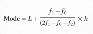
सतत श्रेणी में बहुलक निकालने के लिए एक विशेष सूत्र का प्रयोग किया जाता है।
सूत्र (Formula)-

जहाँ
L = बहुलक वर्ग की निचली सीमा / Lower Limit of Modal Class
f₁ = बहुलक वर्ग की आवृत्ति / Frequency of Modal Class
f₀ = बहुलक वर्ग से पहले की आवृत्ति / Frequency of Class preceding the Modal Class
f₂ = बहुलक वर्ग के बाद की आवृत्ति / Frequency of Class succeeding the Modal Class
h = वर्ग अंतराल (Class Interval) / Class Interval / Class Width
नोट: बहुलक वर्ग (Modal Class)- जिस वर्ग की आवृत्ति सबसे अधिक होती है, उसे बहुलक वर्ग (Modal Class) कहा जाता है।
उदाहरण-
| वर्ग | आवृत्ति |
| 0–10 | 5 |
| 10–20 | 8 |
| 20–30 | 12 |
| 30–40 | 7 |
L = 20 (बहुलक वर्ग की निचली सीमा)
f₁ = 12 (बहुलक वर्ग की आवृत्ति)
f₀ = 8 (पहले वाले वर्ग की आवृत्ति)
f₂ = 7 (अगले वर्ग की आवृत्ति)
h = 10 (वर्ग अंतराल)
Now,

Mode = 20+(12-8)/(2 X 12-8-7) X 10
= 20+4/(24-15) X 10
= 20+4/9 X10
= 20+4.44
= 24.44
नोट: माध्य, माध्यिका और बहुलक का संबंध:
सांख्यिकी में एक महत्वपूर्ण संबंध होता है:
Mode = 3Median−2Mean
यह सूत्र तब उपयोगी होता है जब किसी श्रेणी में माध्य और माध्यिका ज्ञात हों।
बहुलक के गुण (Merits of Mode):-
(i) सरल और आसानी से समझने योग्य:-
बहुलक निकालना बहुत आसान है।
(ii) चरम मानों से प्रभावित नहीं होता:-
बहुत बड़े या छोटे मान इसका प्रभाव कम करते हैं।
(iii) व्यावहारिक महत्व:-
व्यापार और उद्योग में इसका व्यापक उपयोग होता है।
(iv) ग्राफ द्वारा ज्ञात:-
हिस्टोग्राम की सहायता से बहुलक निकाला जा सकता है।
(v) गुणात्मक आंकड़ों के लिए उपयोगी:-
जहाँ संख्यात्मक औसत संभव नहीं होता, वहाँ बहुलक उपयोगी होता है।
बहुलक की सीमाएँ (Limitations of Mode):-
(i) सभी मानों पर आधारित नहीं होता:-
यह केवल सबसे अधिक आवृत्ति वाले मान पर आधारित होता है।
(ii) कभी-कभी बहुलक स्पष्ट नहीं होता:-
कई बार दो या अधिक बहुलक हो सकते हैं।
(iii) गणितीय विश्लेषण में कम उपयोगी:-
आगे की गणनाओं में इसका प्रयोग सीमित होता है।
(iv) छोटे डेटा में विश्वसनीय नहीं:-
बहुत छोटे आंकड़ों में बहुलक सही परिणाम नहीं देता।
निष्कर्ष (Conclusion):
इस प्रकार बहुलक सांख्यिकी में केन्द्रीय प्रवृत्ति का एक महत्वपूर्ण माप है जो किसी आंकड़ों के समूह में सबसे अधिक बार आने वाले मान को दर्शाता है। यह विशेष रूप से तब उपयोगी होता है जब हमें किसी समूह का सबसे सामान्य या प्रचलित मान जानना हो। हालांकि इसकी कुछ सीमाएँ भी हैं, फिर भी व्यापार, अर्थशास्त्र, शिक्षा और सामाजिक विज्ञानों में इसका व्यापक उपयोग किया जाता है।
इस प्रकार बहुलक न केवल सरल और व्यावहारिक है, बल्कि यह किसी भी डेटा के सामान्य व्यवहार को समझने में महत्वपूर्ण भूमिका निभाता है।
